
Contoh Surat Pengunduran Diri yang Benar dan Sopan

Apakah Karyawan Boleh Mengundurkan Diri Pada Masa Percobaan? - Blog BikinCV
![]()
Template Surat Pengunduran Diri Download

PERTEMUAN III REKRUTMEN & SELEKSI. - ppt download

Prosedur Karyawan Resign yang Harus Dipahami HRD | | HR NOTE Indonesia
![]()
DOC) Proses Rekrutmen yang Efektif | Sri Wahyuni Hasibuan - Academia.edu

Contoh Email Pengunduran Diri Dari Pekerjaan Yang Bisa Jadi Referensi

Panduan Bagi Para Pelamar Kerja Jika Ingin Mengundurkan Diri dari Rekrutmen – Terminal Mojok

35+ Contoh Surat Pengunduran Diri Paling Komplit- Contoh Surat

PROSEDUR PENGAJUAN RESIGN CALON PEGAWAI/PEGAWAI TETAP (UAI – B – 04 – 009) – Direktorat Sumber Daya Manusia Universitas Al Azhar Indonesia

10+ Contoh Surat Pengunduran Diri Dari Organisasi Paling Lengkap | Surat pengunduran diri, Surat, Organisasi

7+ Contoh Surat Pengunduran Diri Yang Sopan Dan Bisa Diterima Perusahaan

PROSEDUR PENGAJUAN RESIGN PEGAWAI KONTRAK/ALUMNI MAGANG (UAI – B – 04 – 010) – Direktorat Sumber Daya Manusia Universitas Al Azhar Indonesia

SELEKSI & PENEMPATAN TENAGA KERJA - ppt download
![]()
DOC) Pengertian Proses Rekrutmen dan Seleksi | Avifah Anis - Academia.edu
MSDM123.com: Proses Rekrutmen
EVALUASI SISTEM REKRUTMEN KARYAWAN
ANALISA PROSES REKRUTMEN KARYAWAN CUSTOMER SERVICE PADA BRISYARIAH KANTOR CABANG MADIUN SKRIPSI Oleh: SITI AMINAH NIM: 210815095
Bimbi Arfida Firdaus UTS MSDM 141-500-173 Manajemen E/2014 1.A. Karna dengan diadakannya seleksi karyawan yaitu untuk mendapatka

Contoh Surat Pengunduran Diri Dari Perusahaan dengan Alasannya

Contoh Cara Membuat Surat Pengunduran Diri Kerja yang Baik dan Sopan - Bikin Cara Baru

12 Kesalahan dalam rekrutmen karyawan yang harus HRD hindari
Surat Pernyataan Bersedia Mengundurkan Diri Apabila Lulus Seleksi | J Daily Basis News
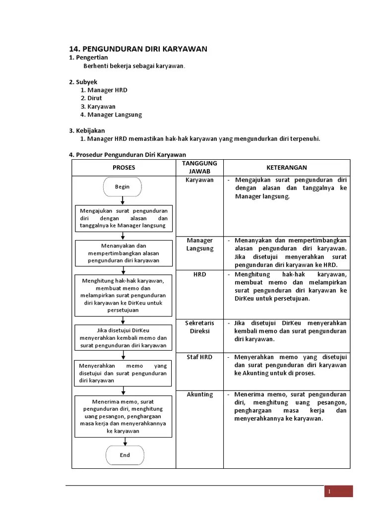
Flowchart Pengunduran Diri Karyawan | PDF
10 Contoh Surat Resign yang Bisa Dijadikan Referensi

6 Proses Rekrutmen Karyawan Baru Yang Wajib Diketahui HRD Dan Perusahaan - Uncchu.com
Rekrutmen SOP | PDF

SELEKSI PENEMPATAN TENAGA KERJA PEREKRUTAN TENAGA KERJA Proses
Anda Dapat Mencoba Menerapkan 7 Tahapan Rekrutmen Berikut Ini Agar Proses Yang Anda Jalankan Lebih Efektif | PDF

Kiat Menghadapi Siklus Rekrutmen di Indonesia | | HR NOTE Indonesia
Mau Resign Kerja? Ini Contoh Surat Pengunduran Diri Yang Baik - Informasi dan Panduan Pelamar - Kilaskerja.com
PROSES REKRUTMEN DAN SELEKSI KARYAWAN PADA CV. AUTOFIX INDONESIA SEMARANG PROGRAM STUDI DIPLOMA III MANAJEMAN PERUSAHAAN FAKULTA
PROSES REKRUTMEN DAN SELEKSI KARYAWAN PT. KOMITE NASIONAL KESELAMATAN UNTUK INSTALASI LISTRIK (KONSUIL) AREA MALANG SKRIPSI Ol

Tips Efektif Meningkatkan Kualitas Proses Rekrutmen dan Mendapatkan Talenta Terbaik | Talentics Blog - Platform Asesmen Online No. 1

Bagaimana Cara Mengajukan Resign Yang Baik? | Artikel

Kalibrr Blog

Contoh SOP HRD Rekrutmen Karyawan Terlengkap - Konsultasi SOP & ISO

5 Contoh Kata Kata Resign Lewat Whatsapp yang Baik dan Benar | CakeResume

Manfaat Psikotes dalam Proses Rekrutmen Karyawan | QuBisa
10 Proses Rekrutmen Karyawan Di Perusahaan | PDF